首页
学院介绍
师资风采
项目&活动
合作伙伴
党务公开
专精特新
学院新闻
您所在的位置:
首页
/
学院新闻
/ 正文
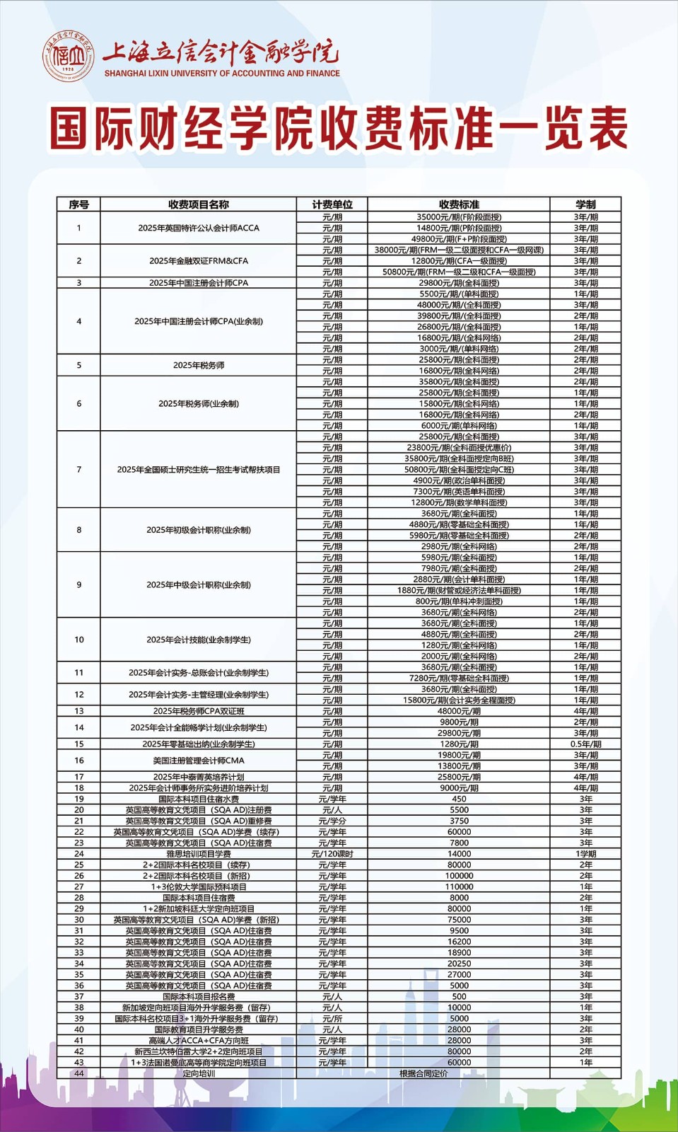
上海立信会计金融学院国际财经学院收费标准一览表
发布时间:2025-09-25 来源:立信金融-国际财经学院
上海立信会计金融学院-国际财经学院 版权所有 电话:400-116-1185 邮箱:ifczs@lixin.edu.cn